Propiedades De Las Ecuaciones De Segundo Grado Resumen
 
										Propiedades teóricas sobre las ecuaciones de segundo grado.
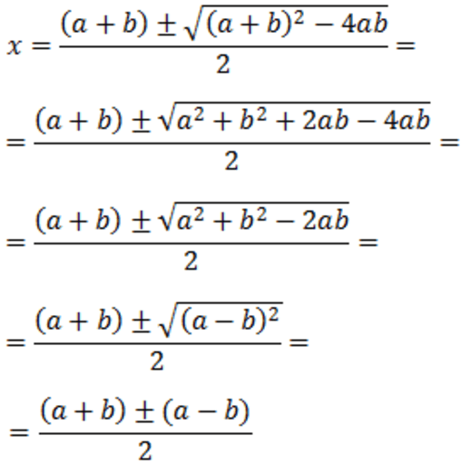
Propiedades de las ecuaciones de segundo grado resumen. En esta página demostraremos algunas propiedades teóricas de las ecuaciones de segundo grado y las aplicaremos para resolver problemas. Propiedades de las soluciones la suma de las soluciones de una ecuación de segundo grado es igual a. Para que las raíces sean iguales el discriminante de la ecuación debe ser igual a 0. La suma de las soluciones.
Las propiedades son las siguientes. Por ejemplo 6x 8. La ecuación de segundo grado a partir de sus soluciones sería esta. De esta propiedad se deduce.
Propiedades de ecuaciones de segundo grado. Suma de las raíces. Si x 1 y x 2 son las soluciones de la ecuación de segundo grado ax 2 bx c 0 entonces su suma s es s x 1 x 2 frac b a. Son ecuaciones de segundo grado aquellas en las que la incógnita aparece al menos una vez elevada al cuadrado x2.
3x2 3x x 1. No os preocupéis que en el siguiente articulo os digo de donde sale esa raíz tan rara por ahora quedaros con la idea de que el resultado sigue siendo el. Básicamente las propiedades de las ecuaciones son las siguientes. 13 de abril de 2010 publicado por eduardo.
Mirad por donde nos ha salido una ecuación de segundo grado. Ecuaciones de segundo grado completas e incompletas. Propiedades de las ecuaciones. La primera de las propiedades es la relación de la suma y del producto de las soluciones de la ecuación con la propia ecuación y la segunda que cuando las soluciones de la ecuación con coeficientes reales son números complejos éstos son números conjugados.
El producto de las soluciones. Dónde s sería la suma de las soluciones s x1 x2 y p el. Por lo tanto cualquier valor real de m lo cumple. El producto de las soluciones de una ecuación de segundo grado es igual a.
Inicio general propiedades de las ecuaciones. En este vídeo os explicaré las propiedades de las ecuaciones de segundo grado o también llamadas propiedades de las soluciones. Ecuación de 2º grado a partir de sus soluciones si conocemos las raíces de una ecuación. Si a los dos miembros de una ecuación sumas o restas un mismo número o expresión se obtienes otra ecuación equiva lente a la dada.
Pasemos al primer miembro de la ecuación todos los términos de forma que en el segundo miembro quede 0. Suma y producto de las soluciones obtención de una ecuación a partir de sus soluciones. Propiedades de las ecuaciones. Ecuación de segundo grado.
Explicación paso a paso.

 
										
				 
										
				 
										
				 
										
				